Solved
partial fraction - why mcad 15 can't do "better"?
- November 5, 2021
- 2 replies
- 1944 views
To all
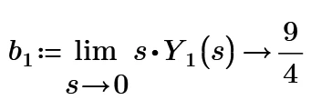
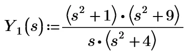
I was writing a couple of simple transfer functions in a document when it crossed my mind to check if Mathcad 15 could change the fraction to a partial fraction form - some kind of intellectual (professional?) curiosity more than anything. Of particular interest was to check if I could get the residual (of the fraction).
Well it does not quite work out-of-the box. Most likely a reflection of me not using the defined keywords correctly but I expected mcad 15 to return a better partial fraction (based on the examples).
What is wrong syntax-wise?
thanks



