5-Regular Member
November 11, 2025
Solved
RKfixed mathcad prime 10 - compressible nozzle
- November 11, 2025
- 2 replies
- 961 views
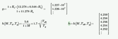
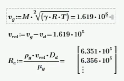
hi wondering if anyone can give me any tips or help? I'm very new to mathcad and using it to create a compressible nozzle with multiphase gas-particle flow. I'm having trouble calculating the velocity of the droplets with an initial velocity of 1. when implementing with rkfixed the vd0 says 'unknown error-ODEtoofewinit'
Any help would be appreciated if theres a better way to solve? thanks
(g=gas, d=droplet)






