Skip to main content
1-Visitor
June 5, 2016
Solved

RQ factorization using QR

  • June 5, 2016
  • 2 replies
  • 9262 views

Has anyone done RQ factorization using the QR matrix function?

I understand that this can be done using "row reversal" but I'm not sure how to proceed.

Best answer by jgreenwood

Thanks Alvaro,

Unfortunately your soultion doesn't perform "RQ" factorisation as it is generally defined.

As you observe, it provides a factorisation into a Lower Triangle and Orthoganal matrix pair.

Anyway, I have now figured out how to do this and I have attached my solution to this post.

Best Regards

John

For the benefit of others:

Recall that "QR factorisation" decomposes a matrix A into an othogonal matrix Q and an upper triangular matrix R such that A=Q.R

"RQ" factorisation decomposes a matrix B into a upper right triangle matrix, say T and an orthogonal matrix Z such that B=T.Z

Note the difference in order of multiplication for the two matrix types (triangular and orthogonal)

Actually, the situation would be more clear if we renamed "RQ factorisation" as "TZ factorisation" then there would be less confusion between the two decompositions.

2 replies

23-Emerald IV
June 6, 2016

Like this?

Try and play with it by modifying M (not only its values, but also its size and shape.)

Success!
Luc

1-Visitor
June 7, 2016

Hi Luc,

Thanks for responding. I appreciate your effort but this doesn't quite answer my question. I am able to do QR factorisation using the Mathcad function provided but I need to do RQ factorisation, which is a slightly different factorisation that gives different ‘Q’ and ‘R’.

As you demonstrated, “QR factorisation” of a matrix A gives two matrices, say B and C, such that A=BC where B is an orthogonal matrix and C is upper triangular.

But “RQ factorisation” of a matrix A gives two matrices, say D and E such that A=DE where D is upper-triangular and E is orthogonal.

Matrices B,C,D and E are generally all different.

Anyway, I think I nearly have this sorted now - I hope to post the answer soon, in case anyone is interested.

Cheers

John

12-Amethyst
June 8, 2016

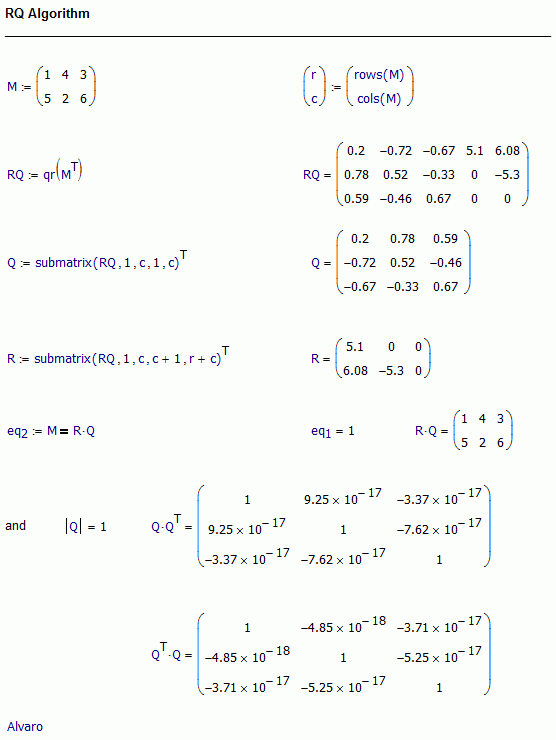
Hi John. Hope this helps. But not very sure if you need to reverse R (or eventually Q too) because my R is lower triangular. There are some few variants for this algorithm. But what actually is important, is that:

  • QR is Gram-Schmidt orthoganilization of columns of A, started from the first.
  • RQ is Gram-Schmidt orthoganilization of rows of A, started from the last.

Also in my example, Q'*Q = Q*Q' = identity, and I know that for Q'*Q this is not always desiderable. Finally, notice that I use Origin = 1.

Best regards.

Alvaro.

rq.gif

jgreenwood1-VisitorAuthorAnswer
1-Visitor
June 10, 2016

Thanks Alvaro,

Unfortunately your soultion doesn't perform "RQ" factorisation as it is generally defined.

As you observe, it provides a factorisation into a Lower Triangle and Orthoganal matrix pair.

Anyway, I have now figured out how to do this and I have attached my solution to this post.

Best Regards

John

For the benefit of others:

Recall that "QR factorisation" decomposes a matrix A into an othogonal matrix Q and an upper triangular matrix R such that A=Q.R

"RQ" factorisation decomposes a matrix B into a upper right triangle matrix, say T and an orthogonal matrix Z such that B=T.Z

Note the difference in order of multiplication for the two matrix types (triangular and orthogonal)

Actually, the situation would be more clear if we renamed "RQ factorisation" as "TZ factorisation" then there would be less confusion between the two decompositions.

19-Tanzanite
June 10, 2016

Neat.

Could you please mark your own answer as correct. It will help others find the solution.