Solved
SYMBOLIC Differential Equation and System of Differential Equation
- September 3, 2020
- 4 replies
- 15934 views
Hello,
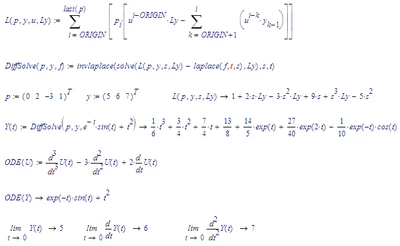
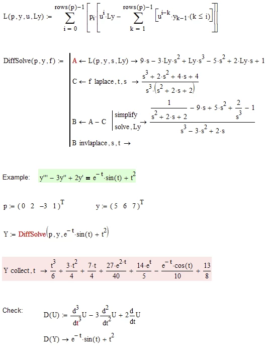
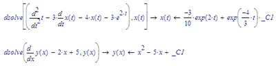
There is a function that can solve SYMBOLICALLY a differential equation and a system of differential equations automatically in Mathcad?
Or at least, how can I solve SYMBOLICALLY a differential equation or a system of differential equations (automatically) in Mathcad? But without using manually Laplace Transform for each term or Odesolve(-numeric/graphic), but rather something automatically...if exist...
Thank you.


