Prime's symbolic engine is not as capable as you would like it to be.
It simply is not capable enough to solve your equation the way its defined and that has nothing to do with the "assume" modifier (which is ignored by the symbolics ever so often anyway).
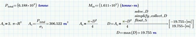
It also can't solve the equation if you try to do it before defining the variables (which would be a justification for using the symbolics and not a numeric method) and it can't solve it after the variable definitions if the variables are defined with units (even though your equation only requires to cancel unit "m" on both sides).
It also does not help to turn on the calculation option "Units/Constants in Symbolics" (which always should be done anyway).
But Prime is at least capable to solve the equation if you remove the units yourself manually:

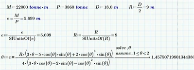
But I fully agree with Alan that symbolic "solve" is the wrong tool use here. It's not just because your problem simply doesn't require a symbolic solution, but also because the symbolic in Prime is not capable enough.
For example is 1.4575 the only solution the symbolics ever will find. It is unable to find, let's say, a solutions greater than 2:

let alone all solutions

Alan already had shown the way to go. For finding a numerical solution you should use a numerical method. In Prime, this is either a solve block with “find,” the ‘root’ function with a guess value, or the “root” function with an interval provided..
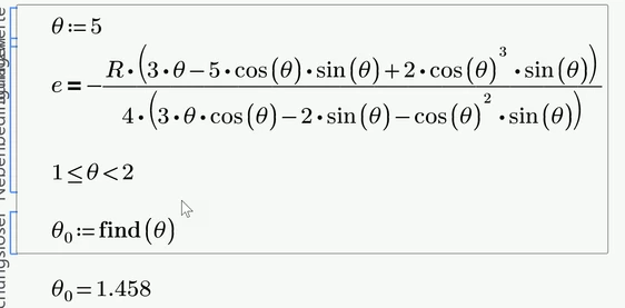
Alan just made a sign error when defining the function f which is the reason his function has no solution in the interval [1; 2]

When providing an interval the interval limits must be chosen carefully, as the function values at these points must have different signs.
To get the solution 4.2..., the interval [4; 5] is therefore unsuitable, but using [4; 4.5] works.

If you use the "root" function with a guess, there is no guarantee that the solution found is always near the guess value

When using a solve block with "find" you also have to provide a guess. A solve block takes up more space and looks quite ugly in Prime, but it has the advantage that you can use the equation as it is and furthermore you can add constraints like 1<=theta<2 which may (!, no guarantee) give you the desired solution even if you provide an inappropriate guess value
