Question
Symbolic Math in Mathcad 15 & Prime
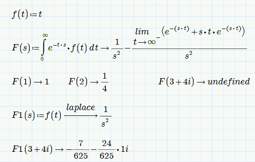
I see that Symbolic Math in Mathcad Prime is more correct than in Mathcad 15:

Do you know others examples?
I see that Symbolic Math in Mathcad Prime is more correct than in Mathcad 15:

Do you know others examples?
Enter your E-mail address. We'll send you an e-mail with instructions to reset your password.