Skip to main content
1-Visitor
October 31, 2020
Solved

Units are not compatible

  • October 31, 2020
  • 1 reply
  • 9876 views

Hello everyone,

I hope you are doing fine !

I recently decided to try Mathcad Prime for my calculations, and I found the software to be easy to use.

However, when I was writing an equation, I got the message "Units are not compatible"

Can someone help ?

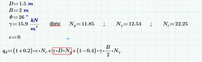
DG_9695654_0-1604161884874.png

 

Thank you in advance !

Best answer by Werner_E

@DanyGebran wrote:

But the thing is I really need to use the Nq, Nc and Ngamma in the formula. Can't I use dimensionless numbers ?


You can, but its not advisable. You should take advantage of Primes ability to detect unbalanced units

 


What should I do to solve this problem then ?

Use correct units for ALL factors.

I guess that c should be the shear strength above the level of the base of foot (and should be neglected because its set to 0). The shear strength has the unit of tension (force per area), typically N/mm^2 or MN/m^2.

 

In Prime you should also apply units to a value of zero. So, as Luc already suggested, you should use c:=0 N/mm^2 or something like this instead of just 0. The specific units do not matter (as the value is 0), all that matters is the dimension which has to be force per area.

1 reply

25-Diamond I
October 31, 2020

From the three summands, the first is dimensionless, but the last are pressure (kn/m^2).

 

You can't add quantities of different dimensions. Thats one of the great benefits in using Mathcad or even Prime that you immediately  notice unit inconsistencies.

 

For future questions please always also attach your work sheet as well.

 

1-Visitor
October 31, 2020

But the thing is I really need to use the Nq, Nc and Ngamma in the formula. Can't I use dimensionless numbers ?

What should I do to solve this problem then ?

23-Emerald IV
October 31, 2020

Mathcad (and Prime) requires that every expression and equation is unit balanced. One way to achieve that is to use no units at all.

In your case it's also possible to define  c with a unit of N/m^2. So:

LucMeekes_0-1604167265542.png

That will balance the units.

 

Success!
Luc