As Fred already noticed you mixed up angle degree with degree temperature, presumably °C.

Now you have the choice between an interpolation (the "curve" runs exactly through the given points) or a curve fit, where you choose a function type and Prime tries to adjust the parameters so the overall failure is minimal (least square sum).
The simplest interpolation sure is the linear interpolation:

You may also try a spline interpolation which sometimes is appropriate but sometimes leads to undesired effects

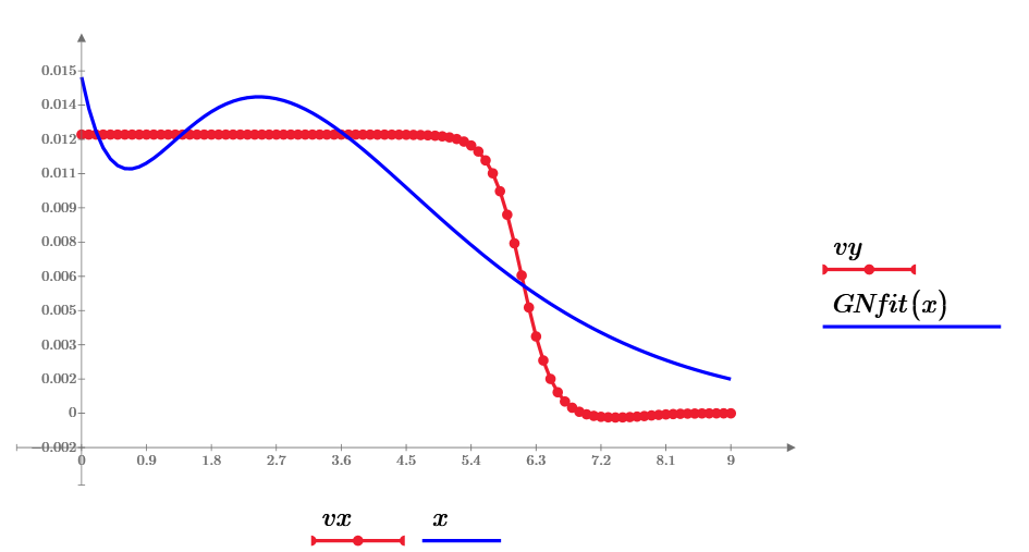
As for a function fit you first would have to decide for a specific function type. Fred decided for a polynomial.
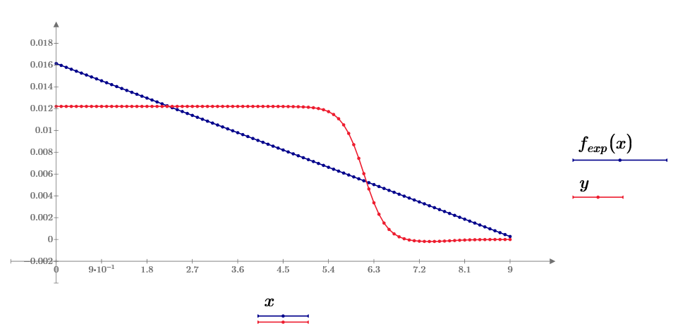
I guessed that an exponential fit might be appropriate. I use the generic "genfit" function for demonstration, but fo a simple exponential fit you may also use the built-in "expfit" function ("expfit" will also accommodate for a vertical displacement).
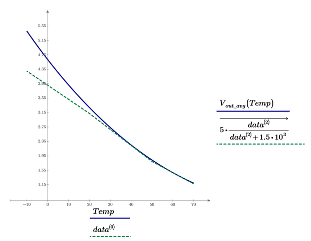
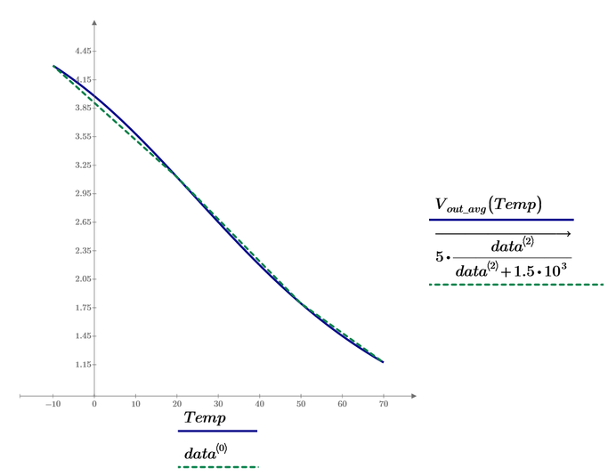
Note that the standard unit for temperature is Kelvin and its always a good idea to leave it at that because working with temperatures may be quite nasty using °C. So R0 is the resistance at the absolute zero (0 K) and thats the reason for the huge guess value of 100MOhm.
You also can see by the calculation to the right of the first plot that the curve does not run through the points exactly but rather fits them best.

Prime 9 sheet attached