Question
Feature Request - Align symbolic for loop behaviour with numeric
It's great to see the symbolic engine being improved. However, it would be nice to see a long-standing symbolic/numeric behavioural alignment problem fixed.
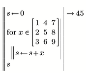
The numeric engine will iterate over a vector in a for loop but the symbolic engine does not, which requires workarounds that make the code more complex than need be. For example,

Stuart

