1-Visitor
March 15, 2022
Solved
Finding the index value in a vector for a given value
- March 15, 2022
- 3 replies
- 9626 views
Good Morning,
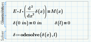
I am trying to determine the exact x-location where the maximum deflection occurs. So far I have got a match function:

I wish to return the index k for which the displacement is maximum, the deflections have been calculated and stored in the vector delta-k. With the index found I can then determine the corresponding location where it is a maximum.
I know there are various topics available on this however I have not been able to get it working so far.
Thanks,
Callum



