10-Marble
July 15, 2023
Solved
Fourier Series on Mathcad
- July 15, 2023
- 2 replies
- 12355 views
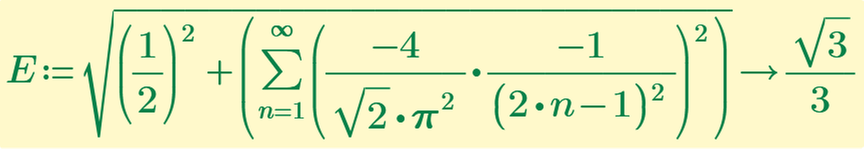
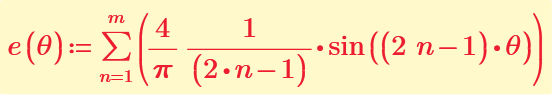
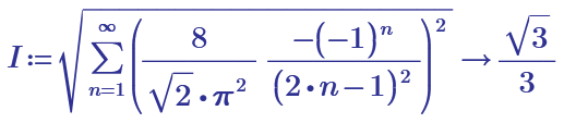
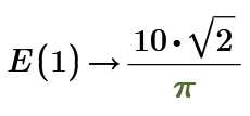
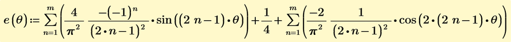
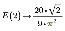
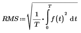
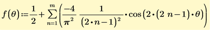
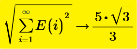
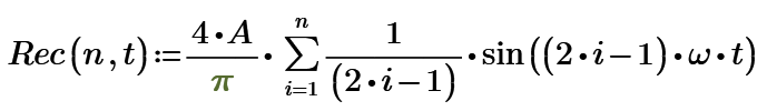
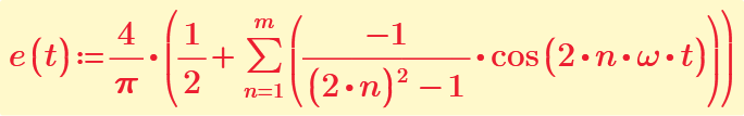
Hi guys, so I am having this problem with ploting graphics, I only need to do this simple Fourier Series and plot it, but it doesn't work. I will show the problems with some images and the program itself.




