Community Tip - You can subscribe to a forum, label or individual post and receive email notifications when someone posts a new topic or reply. Learn more! X
Plz check the mathcad file.
It is generally very hard to control the output of the symbolic processor.
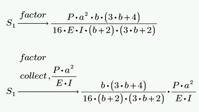
You might try using the 'collect' keyword, e.g.: collect,b
to collect terms on (powers of) b.
Likewise: collect,E
Success!
Luc
As Luc already wrote its often hard to impossible to control the outcome of a symbolic result. The modifiers available sure are not sufficient and the few we have ever so often don't work as expected.
Luc is using Mathcad 11 and this version uses Maple for symbolics which is far superior over muPad which is used in Mathcad 15 and Prime. As you may already have noticed his suggestion of using "collect,b" unfortunately won't help in Prime.
Maybe "factor" can help to get a result a bit closer to what you want to achieve:
Okay thanks.
