Community Tip - Did you get called away in the middle of writing a post? Don't worry you can find your unfinished post later in the Drafts section of your profile page. X
Hi
ı need to take some plot and ı start to define eqn,
first eqn dependent one variable
second eqn dependent 2 variable
third eqn dependent 3 variable
and it is going increase thus the equation will be very long
is there any thing to shortly define this kind of eqn?
thank you
Solved! Go to Solution.
I get this funny feeling that the C1 you are using the definition of the function C3(C1) is the C1 function that is defined on the first row, etc.
So actually what you want to accomplish is this:
That is you may have a complicated function, but it is of a single variable....
Success!
Luc
Its unclear what you are trying to ask and your screenshot does not show a single equation and no function definition either (which seems to be what you mean by "equation").
Maybe its best if you try to show what you are asking for with a simplified example.
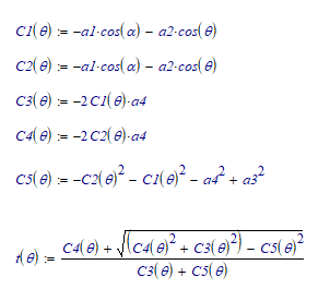
in the picture i take screen shoot of first equaiton set. in the stage is not proble define like C3(C1(theta12)) but after same stage ı get 5 dependet variable equation, and ı need to define shortly this equaiton.
You may define
C3(x):=-2*C1(x)+a4
Of course you can use theta12 as formal argument instead of x. The name of the formal argument is not important.
Make the same with C4 and define
C5(x):=-C2(x)^2-C1(x)^2-a4^2+a3^3
etc.
I get this funny feeling that the C1 you are using the definition of the function C3(C1) is the C1 function that is defined on the first row, etc.
So actually what you want to accomplish is this:
That is you may have a complicated function, but it is of a single variable....
Success!
Luc
Please attach your Mathcad worksheet (in archive file) to the message.
