Community Tip - You can subscribe to a forum, label or individual post and receive email notifications when someone posts a new topic or reply. Learn more! X
How to go back to result with Laplace? I am using Mathcad Prime 6.0
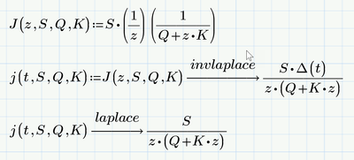
Just delete the range variable for t.
But was it really your intention to make j(z) a constant function??
Why not use symbolic calculation without numbers
and define the values just later
