Community Tip - Visit the PTCooler (the community lounge) to get to know your fellow community members and check out some of Dale's Friday Humor posts! X
Hi
When I do double logarithmic plotting (and maybe also single) the trace sometimes disappears when a scale the axis. Very frustrating!!
Thomas
The answer is simple.
Plot lines have only two end points.
When you change the axis values one end point of the black line goes out of scope so line cannot be plotted.
Cheers
Terry
Hi. The answer might be simple but not correct
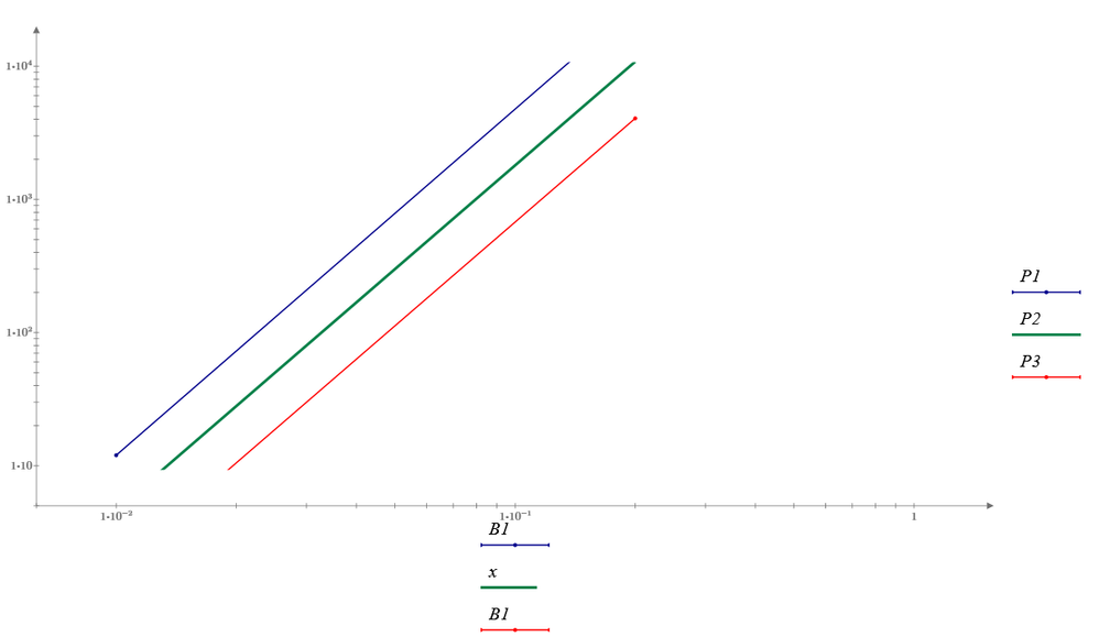
Doing the scaling puts both points on the green trace (P2) outside the graph - which might be the reason.
For the blue (P1) and red (P3) trace one of the endpoints are also outside the scaling values - but they can still be plotted
Changing the y-axis to linear gives other results
Scaling the axis is a normal way of finding a given interception like a zoom function, but it might not be possible
So the rule for Prime seems to be that at least one of the endpoints of a line segment must be within the scope and visible in he plot for the line segment to be plotted.
This might not be the way you would wish plotting should be implemented, but its the way it IS implemented by PTC.
And why does P2 plot if the y-axis is scaled linear and limits are set to 10 and 10000 so both Y-values in P2 are out of range?
Answer is simple 🙂 : Primes plot does not respect the lower limit because of the huge range from 10 to 10^4 and domineering sets it to 0 and that way the lower left endpoint IS within the scope again.
Give it a try: additionally to the lower (10) and upper limit (10^4) set the second value on the axis (the one above the lowest value "ymin") to something like ymin+10^3. Now the plot P2 disappears (and Prime is disrespecting the upper limit and sets it to 1.001*10^4)
You can report this undesired behaviour to PTC support but I guess that they will not be willing to improve the native plots in Prime but rather will suggest that you should use the third party tool chart component which was is integrated as a reaction to the many complaints about the poor quality and missing features (grids, labels, secondary y-axis, ...) of Primes native plots.
This chart component has its own drawbacks, though (not scaling properly, no units support, extremely awkward and slow reacting, ...) so using it is not an option for me - maybe its an option for you.
Just out of curiosity I tried your example and another one in real Mathcad (version 15):
You are completely right.
The plot function in Mathcad Prime really have some serious malfunctions.
Even in Excel you can squish the axis limits for finding an interception.
Adding more points to the curve of course solves the issue on this specific graph.
But tightening the axis limits further will just give the some problem.
As Werner posts: at least one of the endpoints of a line segment must be within the scope and visible in he plot for the line segment to be plotted.
Yet another malfunction to the plot function.
Green line has no endpoints of a line segment but has interpolated points.
Correct. Interpolated point has been added.
But if you squeeze the axis limits in order to zoom, you will end up in the same problem.
Using logarithmic plotting it has at least 1 decade such as 10^3 and 10^4. Above plot already has 2 interpolated points in dacade and it can plot line.
Ofcourse logspace can interpolate not only 10 but may be 10000 if you want. So you can plot any small range to zoom.
