Community Tip - Did you get an answer that solved your problem? Please mark it as an Accepted Solution so others with the same problem can find the answer easily. X
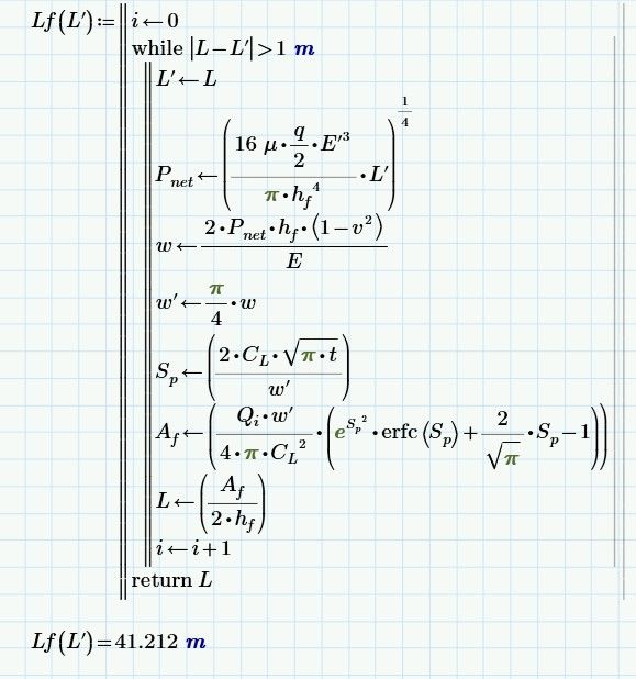
Could someone help me to write simple loop enumerating a new L?
Solved! Go to Solution.
Hi,
To enter the loop first time you need to change the while statement to >
You have to put all seven assignment inside a while loop!
Hi,
To enter the loop first time you need to change the while statement to >
