Mathcad 15, find just one variable
I want to simply find one thing.
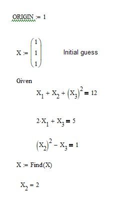
I have a rather large system fo equations and I just want to find one answer.
Is there a way to put a single variable in a find statement.
So if I have a system with X1 X2 X3 ...... X100
I don't want to have to have the following.
A 100X1 := find(X1......X100) Its unmanable because all it does is run all over the page.
I used to be able to do this in prime.
I simply want to be able to find one variable.
Answer := find (X33)
How can I do this in 15?

