1-Visitor
January 11, 2024
Solved
Min/Max at each index between 2 matricies
- January 11, 2024
- 2 replies
- 2282 views
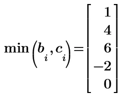
I am trying to find the min/max value at each index across 2 matricies.
The min/max function finds the smallest/largest value across both matricies at every index, which is not what i want.. PNG and mathcadfile attached for clarity. I am using mathcad prime 9.0.0.0. I have tried several syntaxes (shown in the attachment), but to no luck.
Does anyone know the syntax for this?
Cheers,
Sebastian




