Community Tip - When posting, your subject should be specific and summarize your question. Here are some additional tips on asking a great question. X
The message you are trying to access is permanently deleted.
Team,
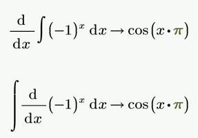
Please see this file. I believe Mathcad gives the wrong answer for the indefinite integral of ((-1)^x)dx.
Let me know what you think.
Regards,
Glen
I guess you're right:
What version of Prime are you using?
Success!
Luc
Yes, I would call it a bug in the symbolic engine and its already present in Prime 9 (can't test P8 or P7 as I don't have those versions installed).
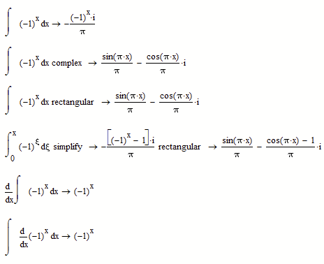
Modifiers 'rectangular' or 'complex' don't help and also not writing it as a definite integral
and also
As Luc has shown it works OK in MC11 (with Maple as symbolic engine).
It also works OK in MC15 (with muPad as symbolic engine)
(The definite integral differs just by a constant i/pi which is OK)
