Community Tip - You can subscribe to a forum, label or individual post and receive email notifications when someone posts a new topic or reply. Learn more! X
Hi,
I`m new to Mathcad and struggle with a few things.
1) I try to define a few values, like:
Mathcad always wants to have a unit. Can I somehow set a value without?
2) When I try to calculate, I get the error "this value must be a scalar or a matrix". I just want it to be a number. What`s wrong?
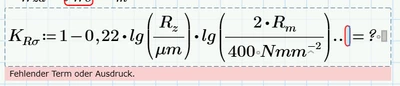
3) What does Mathcad require here?
Thanks!
Best regards
Martin
Solved! Go to Solution.
Hi Martin
Welcome to Prime and the community
Prime uses the decimal point "." full stop for decimal numbers
Prime uses the range operator "," comma for range value creation
This is the source of error in the equation for KRsigma
Cheers
Terry
Hi Martin
Welcome to Prime and the community
Prime uses the decimal point "." full stop for decimal numbers
Prime uses the range operator "," comma for range value creation
This is the source of error in the equation for KRsigma
Cheers
Terry
Thanks Terry! Now it works.
Regards
Martin
Hi Martin,
This is your equation three.
Beside the use of comma where Prime insists you use decimal point, there is also the need to use a unit of length for 6.3 to divide by micrometer.
Cheers
Terry
