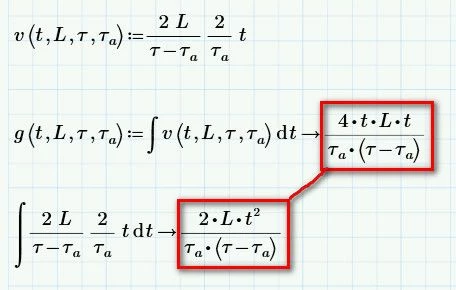
Check the labels of the t's in the indefinite integral:
- the one as argument of the function v(t,...) within the integral => this one is labelled as a 'variable'
- and the integration variable t (the one following the d) => this one is labelled as an 'automatic'.
They are differently labelled, so they are seen as different variables and (only then !) the integration result makes sense.
In the other integral (not using v() but the function directly) both t's are 'automatic' variables and therefore (seen as) the same.
This autolabelling feature of Prime is often a blessing, sometimes the opposite. You can help yourself by choosing distinctive looks (fonts and/or colours) for each of the different labels to clearly show the difference between differently labelled items.
Success!
Luc
Enter your E-mail address. We'll send you an e-mail with instructions to reset your password.



