Community Tip - If community subscription notifications are filling up your inbox you can set up a daily digest and get all your notifications in a single email. X
Good Afternoon, Community,
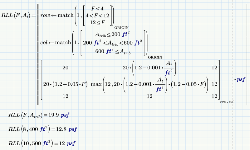
Would anybody be kind to help on how to program the Roof Live Loads tributary area as one function to take care of column or can I do this in Comb in Mathcad Prime. Please see attached. Thanks,.
Olu
Basically you have five different cases (actually nine, but five return the same value 12).
Your two programs just cover three of them.
What is the meaning of
It looks like a boolean comparison which could be true or false (in Prime that's 1 or 0), but I guess it has a different meaning.
I have no experience in your filed of work but according to the table the outcome should be a load in psf and not as you programmed it an area?
I also don't understand what you mean by "take care of column" and "do this in Comb"!?
There are many ways to skin a cat, so here is a way which could also easily deal with nine different outcomes and also with larger matrices.
I interpreted the center expression as "at least 12 or more". Not sure if this makes sense, though.
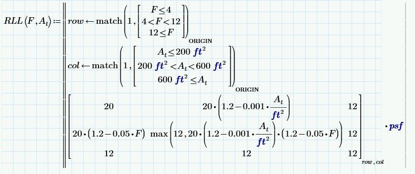
Hi Werner and Olu
Corrected Werner's sheet to reference At not Atrib.
Gets a better surface.
Cheers
Terry
Hi Olu,
Took a different approach as Engineering is full of such tables.
Created a matrix of the table so you know the equations are right and in the proper place. Easy to check.
Created a function that gets the correct index into the matrix. Easy to check.
Like I said easy to check and an error in sheet now corrected
Cheers
Terry
