Solve Blocks Plotting Results
- March 18, 2022
- 2 replies
- 2810 views
Good Morning,
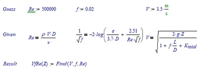
I am encountering a problem with the attached file. I have created a sheet that solves siphon flow rate using a solve block. So far the calculator is able to solve for different heights (Z) if you enter this value.
Now what I wish to do is create a plot that shows the flow rates for heights varying between say 1 to 2 meters head. I have defined n number of points and created a function that returns a vector with the different heights in it this vector uses the index k and goes from 0 to n.
Now what I wish to do is run the values for Z through my solve block to get an output (V-out) which corresponds to each element of the vector Z. (e.g solve for 1m to 2m using the increments defined in the second sheet). This way I can create a plot of the values Z against the values V-out and show how the flowrate through the siphon varies with the available head.
Many Thanks,
Callum




