Community Tip - You can subscribe to a forum, label or individual post and receive email notifications when someone posts a new topic or reply. Learn more! X
Hi!
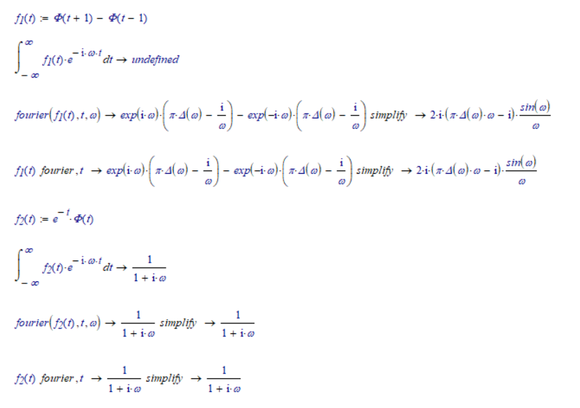
I get unexpected results when using the Fourier Transform on some common engineering functions:
Am I not using the fourier operator correctly?
Please help 🙂
This may be a well known bug, due to Mupad (the symbolic processor).
This is what Mathcad 11 (Maple) gives:
Success!
Luc
