Community Tip - Did you get an answer that solved your problem? Please mark it as an Accepted Solution so others with the same problem can find the answer easily. X
How can I copy paste the table from one to another in Prime with unit?
You can copy the whole table simply via copy and paste (Ctrl-C, Ctrl-V).
But you can't copy selected columns. Even if you highlight one column only, the whole table is copied.
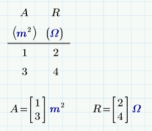
But basically a table is just defining a couple of vectors. You can display those vectors one by one and of course you can also copy those vectors.
But you can't insert them in a new table because a table is just meant for manually inputting data.
BTW, you may consider to either close your threads or come back and explain why your problem still is not solved:
https://community.ptc.com/t5/Mathcad/How-can-use-path-in-writeexcel-function/m-p/806429
https://community.ptc.com/t5/Mathcad/Units-system-change/m-p/813440
https://community.ptc.com/t5/Mathcad/Re-Units-reverting-into-base-units/m-p/827940#M203150
https://community.ptc.com/t5/Mathcad/Problem-again-with-units/m-p/834330
