Community Tip - Did you get an answer that solved your problem? Please mark it as an Accepted Solution so others with the same problem can find the answer easily. X
@ValeryOchkov wrote:
Do yo have one more usefull example?
Useful example for what???
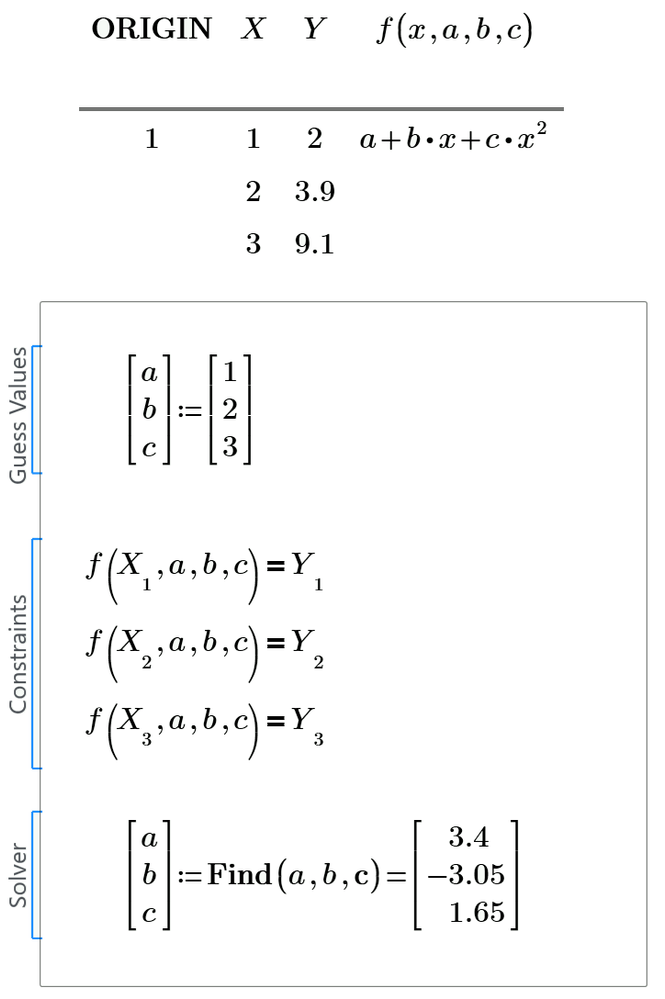
1) Why do you forumulate your solveblock so complicated? You may use the full vectors instead:
2) If your goal is a fit, a regression, you would rather use MinErr instead of Find:
3) What you have done with the solve block can be done more efficiently using polyfit(s) or regress
4) In case one day you dont are after a polynomial fit, you would rather user genfit:
If I am missing your point, please explain.
I think it is a shorter variant
I still don't understand what your question is about!?
@WernerExinger wrote:
I still don't understand what your question is about!?
The question has answers - your Mathcad-sheet! Ich bedanke mich herzlich!
Stickers and GIF should be definitely included in the next community update
@rubenvillarreal wrote:
Stickers and GIF should be definitely included in the next community update
Really?
Or, if you're stuck with Express you can do as attached
