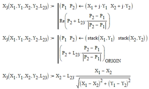
Three points on a straight line
Do you have a correct and simple solution? (Warring! X1 may be equal X2!)

PS It is one test for my students!
Do you have a correct and simple solution? (Warring! X1 may be equal X2!)

PS It is one test for my students!
@ValeryOchkov wrote:
Do you have a correct and simple solution? (Warring! X1 may be equal X2!)
PS It is one test for my students!
And why are you posting their question here?
Do you need help or do you want us to do your students work? 🙂
Anyway, here are a few ways - I usually prefer to do the work in the complex plane as it makes a lot of things quite easy.

Enter your E-mail address. We'll send you an e-mail with instructions to reset your password.