Community Tip - You can subscribe to a forum, label or individual post and receive email notifications when someone posts a new topic or reply. Learn more! X
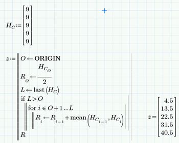
i am trying to program ;this routine (that i picked up from another topic here, originally written in mathcad 15) to calculate the depth to the midpoint of each layer. the results for z should be 4.5, 13.5, 22.5, 31.5, 40.5.
any assistance would be appreciated. the file is in mathcad 4.0
Solved! Go to Solution.
And here is what you probably were trying to do
that works! thank you very much.
