7-Bedrock
December 29, 2024
Solved
"This value must be a function" error
- December 29, 2024
- 1 reply
- 1195 views
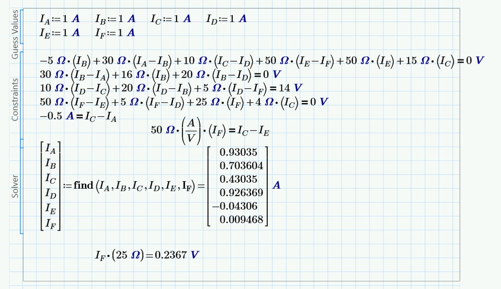
Hello! I am having an issue with Mathcad solve block. This is for an Electrical Engineering class, and I am trying to solve a system of 6 equations to find 6 unknown values. I have re-formatted my equations and the solve block many times and cannot tell what I am doing wrong. Any help would be greatly appreciated!


