Check your equations!
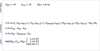
You have 5 equations, and want to solve for only 3 variables. Normally you have 3 (independent) equations to solve for 3 variables.
If I take just the first 3 equations, those in moments, and solve them I get:

This is the symbolic solution, which can be found.
Then I try to evaluate it numerically, I get:

(Complaint that sol is undefined). On closer inspection the first 2 items have this is the numerator:

Which, upon numeric evaluation yields:

And that's exactly zero because:

So you get a division by 0. Hence Prime judges sol to be undefined.
And also Prime indicates the solve block cannot be solved.
The two extra constraints in your solve block will not help to remedy this problem.
However, if I remove the first two constraints, I get this result:

Check your equations.
Success!
Luc