Skip to main content
14-Alexandrite
November 5, 2021
Solved

partial fraction - why mcad 15 can't do "better"?

  • November 5, 2021
  • 2 replies
  • 1944 views

To all

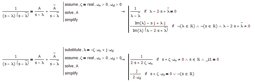
I was writing a couple of simple transfer functions in a document when it crossed my mind to check if Mathcad 15 could change the fraction to a partial fraction form - some kind of intellectual (professional?) curiosity more than anything. Of particular interest was to check if I could get the residual (of the fraction).

Well it does not quite work out-of-the box. Most likely a reflection of me not using the defined keywords correctly but I expected mcad 15 to return a better partial fraction (based on the examples).

What is wrong syntax-wise?

thanks

Best answer by Werner_E

How about

Werner_E_0-1636124557426.png

or

Werner_E_1-1636124573940.png

 

2 replies

Werner_E25-Diamond IAnswer
25-Diamond I
November 5, 2021

How about

Werner_E_0-1636124557426.png

or

Werner_E_1-1636124573940.png

 

JXBWk14-AlexandriteAuthor
14-Alexandrite
November 6, 2021

Thanks for the tips/attempt. I am clearly doing someting wrong because if I try to replicate your example, I get a very lengthy & complex answer. different to the one you shown. Maybe a different setting. In any case it seems that what i had in mind cannot be done simply/directly with mcad 15.

JXBWk_0-1636191212583.png

 

25-Diamond I
November 6, 2021

Werner_E_0-1636197717429.png

 

ttokoro
21-Topaz I
21-Topaz I
November 6, 2021