2nd Moments of Area
Hello to all!
Tonight I am working on what should be a simple problem as below:

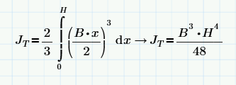
I know that from my reading material I have been given that:

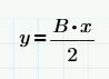
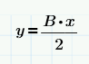
So for my simple triangle problem I have started by defining y (assuming that y is symmetric about x as:

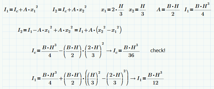
I have then integrated using the given forumula for JT but I am not coming up with the model answer of 1/48*B^3*H I am instead getting H to the power of 4? Which is a reoccurring problem...

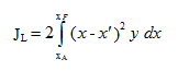
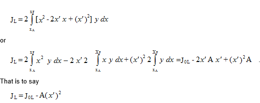
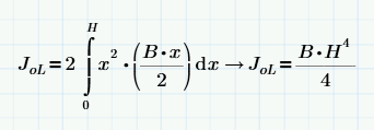
Following the question I have used the same approach for JoL and JL given that these are defined as:





NB JL is the only answer I get spot on but only by using the given answer for JoL not the one I have calculated.
Further if anyone can elaborate as to how J1L would be derived for a base of x=H? The given answer seems to be the answer for JoL for a rectangular shape?
As always your help is greatly appreciated.
Andy



