Define symbolic variable and solve it Mathcad 8
Hi!
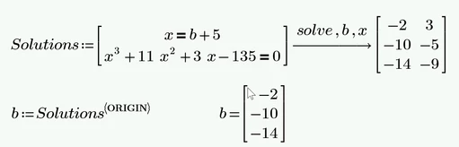
Assume the following simple equations, which I want first to define x=b+5 and later solve the second equation for b.
How can I do that?

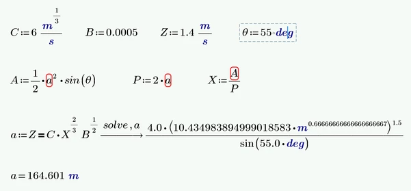
The same question when we add units as well. Here, I think I need a symbolic variable (a) defined first and then solve Z for a to find the a.
Any help is much appreciated.









