Electrical Engineering Challenge #9
Hi,
Find V2 voltage.

Hi,
Find V2 voltage.

With the diode voltage Vanode versus Vcathode (and diode current Id running from anode to cathode) the diode model could be:

(Where Is is the leakage current, generally below 1 pA, k is Boltzmann's constant, e is the electron charge and T is absolute temperature, around 300 K at room.)
The capacitor current Ic depends on the voltage across it Ud, as follows:

now the diode voltage depends on the input voltage Ui as:
Ud=Uc-Ui
And finally Ic+Id=0, which leads to the differential equation:

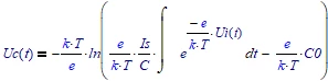
The solution is:

Which brings in a(n integration) constant C0 (which is a voltage).
This expression can be worked to an expression for Uc:

To find C0 we use the initial condition set: at t=0, Uc=0, but also the integral is 0. So we get:

So the expression for Uc simplifies to:

With Ui known,

(where A=1 V and f=1*kHz)
the integral can be solved, but not symbolically, and then Ui can be subtracted from it to get Ud.

Remember that Ud was defined upside-down. In fact V2 = -Ud, so we can write:

Lets take some values and plot:


We see the voltage across the capacitor Uc slowly growing more negative as time progresses. This moves V2 further above Ui.
Success!
Luc
Enter your E-mail address. We'll send you an e-mail with instructions to reset your password.