Haberdasher-Puzzle
Since
Its the 123 year old Haberdasher problem, posed originally by the famous puzzle inventor Henry Dudeney. Actually there are various different publishing dates around - 1902, 1903, 1907 ...
The task is to divide an equilateral triangle of side length 1 with three straight, but not necessarily continuous, cuts into four parts so that they can then be put together to form a square.
Dudeney provided the solution only in the form of a drawing, but without specifying the exact dimensions.
Let D and E be the midpoints of AC and AB. The first cut runs from E to a point F on AB.
The other two cuts run from D and G perpedicular to EF. G is a point an AB and it can easily be seen that AG = AF+0.5 (or equivalent GB = 0.5-AF).
The four pieces now can be assembled to form a rectangle:

Depending on the choice of F, different rectangles may result.

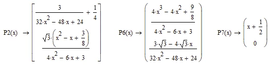
The task now is to determine the value for AF so that the rectangle is a perfect square:

There are solutions around where AF=0.25 which actually is a good approximation, but the rectangle formed that way IS NOT a perfect square.
The correct value for AF is slightly larger, about 0.2545076167.
So what I would be interested in is a (as simple and short as possible) way to determine the exact symbolic value for AF so that the four pieces finally form a perfect square.
If necessary I can post the exact solution for reference but my method to arrive at it is a bit laborious and I am hoping for an easier way.

