How to only get one value from the answer
Hi experts,
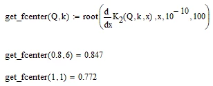
I would like to know how to only get one value from my answer.
I mean I only need 0.847, but there are 6 answers in there. does anyone know how to do it.

Hi experts,
I would like to know how to only get one value from my answer.
I mean I only need 0.847, but there are 6 answers in there. does anyone know how to do it.

OK. here are two possible solutions to the problem and personally I don't like any of the two.
The first one is based on a strange difference in behaviour between "Lookup" and "Hlookup". I have no idea why "Lookup" returns the non-real values with a positive real part as well, but "Hlookup" only returns the real values.

I don't know if its a bug or if there is a special reason for this difference. But we can take advantage of it and use "Hlookup" to get the largest real solution (and hope that its a positive value, too 😉

Another approach uses the "max" function along with a vectorized evaluation. Because the result vector has to be used twice in this approach and I don't want to call K.3 two times, the function result is stored in a local variable "_X_".

The comparison for "approximate zero" with |....|<10^-8 was necessary because of numerical inaccuracies the real solutions sometimes come along with a very tiny imaginary part.
I guess I already wrote it once or twice that I feel that a pure numeric approach without using the symbolics would be more appropriate and much cleaner and hassle free. I already suggested elsewhere something like

Enter your E-mail address. We'll send you an e-mail with instructions to reset your password.