Question
Integrals
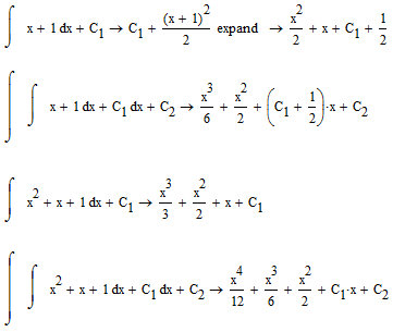
It would be nice if the constant C is always equal to zero, because for some cases I have to take into account the particular value of this constant, or am I picking on too much?

It would be nice if the constant C is always equal to zero, because for some cases I have to take into account the particular value of this constant, or am I picking on too much?

Enter your E-mail address. We'll send you an e-mail with instructions to reset your password.