How does your question relate to Mathcad or Prime?
You have three different points all named C1 !?
Obviously you are just dealing with simple rotations.
The fist of the C1 can be obtained by rotation C0 around the known B0 for an angle theta2.
You may model this by a system of two equations or by a multiplication with a rotational matrix. The necessary mathematics should be known or can be looked up.
Equally the other points C1 can be obtained by simply rotating the first C1 and also C0 around point A for angle theta.1 - same math as before! Also B1 is obtained from B0 by the very same rotation.
You can model your points as 1x2 matrix as you did, but also as 2x1 matrices or even as 3x1 homogeneous vectors which make translations easier.
Another approach is to model the points as complex numbers in the Gauß plane.
Rotating a point around another can be achieved by translating all point so the the point of rotation is in the origin, multiply the points to be rotated by the appropriate rotational matrix and then reverse the translation.
A translation is achieved by simply adding constant values to x- and y- coordinates. When using homogeneous coordinates it can also be achieved by multiplying with a translation matrix.
Go ahead, chose your weapons and if you get stuck (with Prime!) feel free to ask.
For a start here is a function which rotates a point p around a fix point o for an angle phi (measured counter clockwise)

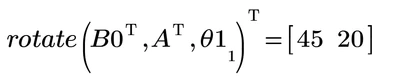
p and o are supposed to be 2x1 vectors, but the function can easily be modified to deal with 1x2 row vectors instead. I leave this up to you - I use the function as is with your data transposed. So for example the coordinates of point B1 using the first angle of your vector theta1 are

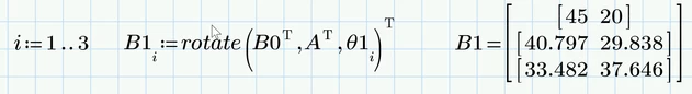
The coordinates for all angles theta1 are

BTW, I see that you tried to plot the points. But I guess plotting all positions for all combination of angles could get quite confusing:
