Mathcad Prime 8.0.0.0 Symbols
How do you create dot variables? One dot on top of the variable indicates first derivative, two dots, the second derivative. I'm using Mathcad Prime 8.0.0.0.
Thanks!
Jack Smith
Katy, TX
How do you create dot variables? One dot on top of the variable indicates first derivative, two dots, the second derivative. I'm using Mathcad Prime 8.0.0.0.
Thanks!
Jack Smith
Katy, TX
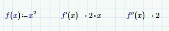
Prime does not 'support' dots on top of a symbol, but it does support the prime operator. You'll find it as one of the operators:

And here's how it works:

Now I said that Prime doesn't support dots on a symbol, but you will find letters with a dot on top in the character map.
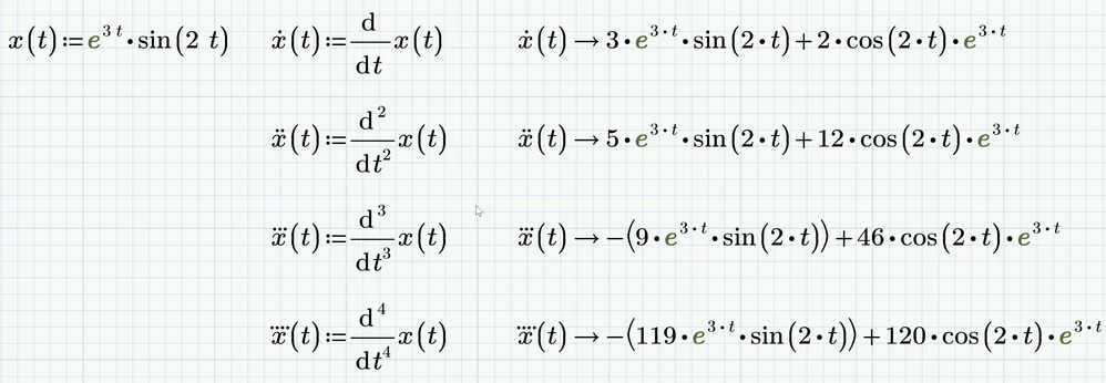
To make a symbol of them is a bit tedious, but possible in Prime. So you can define ḟ (with a dot above it), and assign f' to it:

(First create a string, by typing a quote (") then insert your ḟ and then remove the quote.)
And that actually works, as you can see:

Now I haven't found f with a double dot on it in the character map, yet.
I suppose you'll agree that f' is simpler, especially because you can equally easily have f'', f'''' and f''''''''''''.
Success!
Luc
Enter your E-mail address. We'll send you an e-mail with instructions to reset your password.