No solution was found
Hi,
Can anybody solve equation ? Solution is x =1, but Mathcad doesn't see this solution ...

Hi,
Can anybody solve equation ? Solution is x =1, but Mathcad doesn't see this solution ...

Given that

x=0 can be considered a solution as well.
Formally, f(x) is not defined at x=0, but can be continuously extended.
Additionally there are a lot of non-real solutions as well.
And while Prime's symbolic engine can't find a solution, Prime's numeric "root" function does. A solve block with "find" sure would do a similar job, but is more cumbersome and ugly looking.
You can use the "root" function by providing a guess value

non-real guesses may lead to non-real solutions

or you can use the "root" function by providing an interval (only for real-valued solutions).

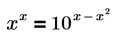
You may also take the logarithm on both sides of the equation
![]()
and so look for the roots of the derived function g(x). Here the symbolics finds both solutions and I must confess that I am surprised that the "assume" modifier really does its job as intended because normally its ignored in such situations.
The modifier "fully" is supposed to return all solutions in one go, but unfortunately has no effect here.

Prime 11 sheet attached
Enter your E-mail address. We'll send you an e-mail with instructions to reset your password.