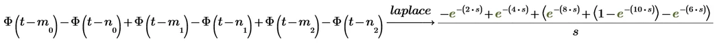
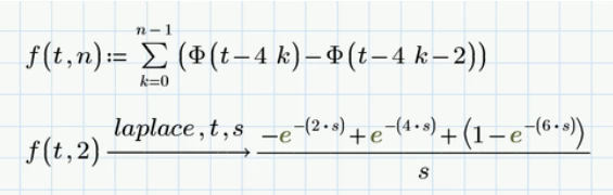
Looks like "laplace" can't deal with "mod", floor" and similar functions and so it can't give you a result for the piecewise and periodic function.

"laplace" can deal with a finite number of pulses, but even then it can't deal with the number of pulses being a variable and not a constant.

I guess that unless PTC implements some kind of rect(t) or SquareWave(t) function and tells the symbolics its laplace transform, we can't talk Prime into returning the result

which you may expect for your square wave.
-> LaplaceTransform (1/2*SquareWave(t/4)+1/2) - Wolfram|Alpha
-> [Solved] The Laplace transform of the causal periodic square wave of
-> integration - Laplace transform of a square wave function - Mathematics Stack Exchange
Enter your E-mail address. We'll send you an e-mail with instructions to reset your password.



