"idx2val" is a function I wrote.
The "match" function returns a vector consisting of 1 or more 2x1 vectors which contain row and column of the position the value was found. "idx2val" uses such a 2x1 vector as input and returns the corresponding alpha and phi value.
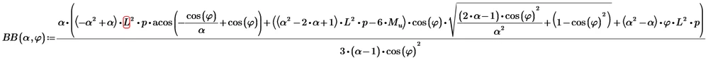
The function definition is to the right of the right margin so you may have to switch from "page view" to "draft view" to see it.

The function definition could also be seen in the screenshot I posted here: Link to reply
EDIT: The zero after "Match" is not a function argument so it does not appear in the argument list. Simply type an opening square bracket after the closing parenthesis in "match(....)" which is the keyboard shortcut for a vector/matrix index

Enter your E-mail address. We'll send you an e-mail with instructions to reset your password.


