The problem is that Prime's auto-labelling is doing wrong by labelling some of the used units as unit and some as variable (you can tell so by the typeface and color). The symbolics does not know anything about units and treats them as undefined variables. And a unit "in" and a variable "in" are seen as different and can't be cancelled.
You should turn on the option "Units/Constants in Symbolics" in the Calculation options and then recalculate the worksheet.

In your case this solves the problem

Nonetheless the symbolics still does not know anything about units. In your case these 'variables' cancel and so you get the result(s) you expect.
Normally you would have to follow with a numerical evaluation to simplify the units.
Here in the example I replaced psi by 144 psf and you can see that the symbolics is not capable to simplify:

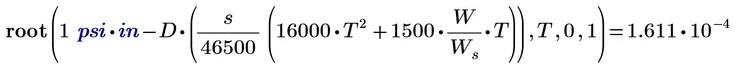
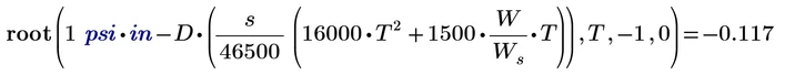
But usually when you are just looking for numerical results you are better off using Primes numerical ways to solve equations. These are either solve blocks with "find" or the "root" function.
Is there any reason why you tried to get rid of the units you had defined initially?
Your equation could be made unit consistent if e is given the unit psi*in.
Here is a way to use the "root" function

