Skip to main content

1 reply

23-Emerald IV
February 6, 2020

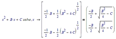
6. Where u=sqrt(B^2/4-C).

 

Simply:

LucMeekes_1-1581001490737.png

This is the famous quadratic root formula, but with A=1.

 

Luc

 

23-Emerald I
February 6, 2020

This is the famous quadratic root formula, but with A=1.

 

Well, duh!  You didn't expect a different answer, did you?   ðŸ˜‰

 

What I found noteworthy, that maybe didn't come across in my post, was the development of the solution in his paper, https://arxiv.org/abs/1910.06709, was the logic behind the derivation. (I like starting from basics and developing the solution rather than memorizing an equation.  Probably because my memory is so poor.)

 

 

23-Emerald IV
February 6, 2020

First off: I did not mean to be offensive in any way. Please accept my apologies if my reaction came across that way.

 

No, I did not expect a different answer.

Unfortunately the link you provide does not work (for me), but I was able to follow the gist of the 'derivation' by the 5 steps. I felt that the calculation to find the value of u should be explicit, rather than just hinted at in step 4. Hence my step 6; in hindsight this should be added to step 4.

 

Note that the method also works for Ax^2+Bx+C=0 as follows: Divide the entire quadratic by A, gives you x^2 + B'x+C'=0, with B'=B/A and C'=C/A.


Luc