Solved
Solving the equation
- June 25, 2024
- 3 replies
- 3928 views
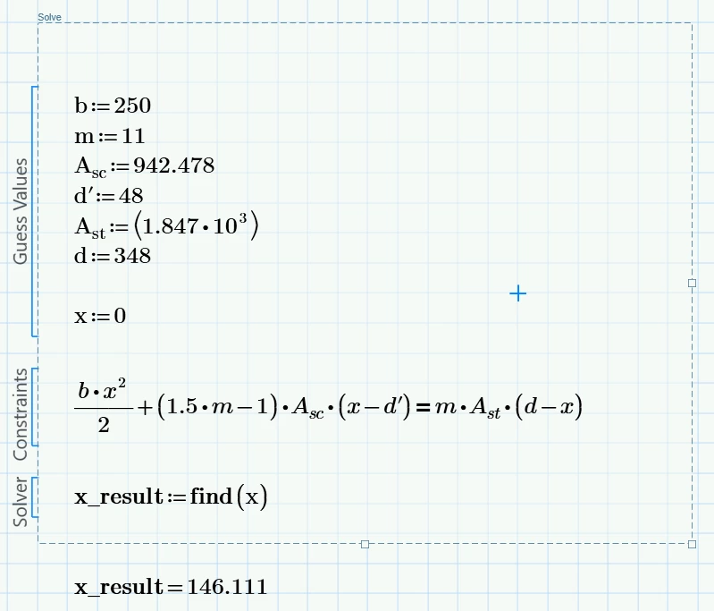
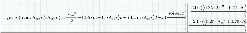
Hi, I'm new to Mathcad. I understand the basics, but I'm struggling with how to solve the equation to find the value of x
Mathcad prime 09

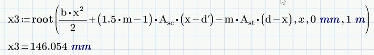
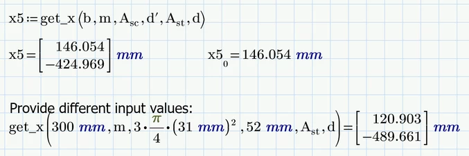
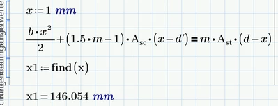
Hi,
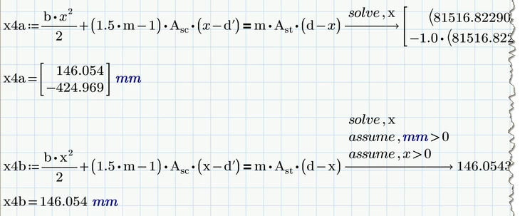
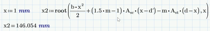
what about this?

Enter your E-mail address. We'll send you an e-mail with instructions to reset your password.