4-Participant
January 22, 2025
Question
This value must be a scalar or a matrix - Mathcad Prime 10 issue
- January 22, 2025
- 3 replies
- 2921 views
Hi,
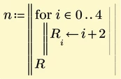
I am getting the following issue on Mathcad 10:
"This value must be a scalar or a matrix"
I am looking to define the output matrix as β. It seems to work on its own but not when I try and assign it as β.

It isn't an issue when run on Mathcad Prime 8 or 9.
Help would be appreciated.
Thanks

