Solved
Hello everyone, Here I need a help in formula fitting. x=[0.2;0.3;0.4;0.5;0.6;0.7;0.8;0.9;1.0] y=[0.25;0.51;0.78;1.15;1.5;1.87;2.35;2.85;3.4] I want to fit formula y=A/x+B , how can I calculate the paramaters of A and B using Mathcad. Thank you
So you think he wanted to to ask for a linear regression and it should read y=A*x+B and he just accidentally wrote y=A/x+B ?
Possible. I thought he would like to fit a hyperbola and as I already indicated I think a hyperbola would at least need some sort of horizontal displacement (B) and better also some vertical displacement (C) - and of course scaling (A).

But a polynomial fit of order 2, a parabola, seems to do a good job as well

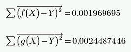
Comparing the sum of squared errors we see that the hyperbola offers just a very slightly better fit

Attached sheet uses the y-values provided by Fred and is in P9 format
Enter your E-mail address. We'll send you an e-mail with instructions to reset your password.

