Solved
Very strange effects indeed.
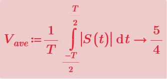
The wrong result from muPad (in real Mathcad and in Prime up to V.6) worries me more than the strange "unknown" error from the new symbolic engine.
I vaguely remember that a similar error of the old symbolic was already discussed in the forum quite a while ago.
Here are the results in Prime 6:

Changing the lower limit of the integral cures the problem for both symbolic engines

Enter your E-mail address. We'll send you an e-mail with instructions to reset your password.











