Solved
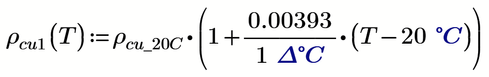
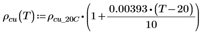
The reference plot is wrong. It plots 0.1*alpha*t


Enter your E-mail address. We'll send you an e-mail with instructions to reset your password.
The reference plot is wrong. It plots 0.1*alpha*t


Enter your E-mail address. We'll send you an e-mail with instructions to reset your password.