Solved
Symbolic operations with complex functions: conjugate, Re and Im
- October 30, 2023
- 2 replies
- 3711 views
Hello!
I am struggling a bit with the symbolic representation of some complex problems. Please, take a look at the attached file.
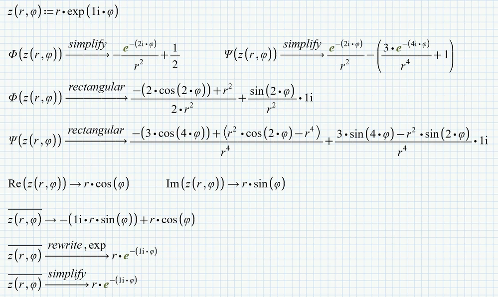
How can I properly define complex function on form z=r*e^(i*phi)? Should I write z(r,phi)=r*e^(i*phi)? If I do so, then the symbolic evaluation of complex potentials (Phi and Psi) doesn't get along. Also, I am trying to use Re and Im functions to define the real and Imaginary parts of "z" without any success. The same goes to the conjugate of "z": it should be z*=r*e^(-i*phi).
Hopefully somebody can help me out.
UPDATE:
I did some progress, but still can't define properly function "z" without Mathcad telling that some variable is undefined. Updated sheet is attached.
Best regards, Sergey



